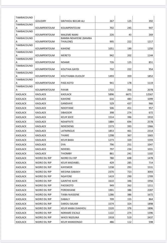
Actualités Politique Covid-19 : Quota par commune des ménages bénéficiaires de l’aide alimentaire 9 avril 20209 avril 2020 jotalixibar Partager l'article Partager : Cliquer pour partager sur X(ouvre dans une nouvelle fenêtre) X Cliquez pour partager sur Facebook(ouvre dans une nouvelle fenêtre) Facebook Cliquez pour partager sur WhatsApp(ouvre dans une nouvelle fenêtre) WhatsApp Share Facebook Twitter Pinterest Linkedin